The first analysis performed showed that the stress distribution of two different structures both with a pore size of 0.75mm x 0.75mm, but with different shell thickness of 0.2 mm and 1.0 mm. These results are shown in Appendix A. A comparison of these two stress distributions shows how the stress is differently distributed throughout each structure. The thin-shelled (0.2 mm) structure shows more concentration of stress within the top two layers of the structure. It is also obvious that the stress is distributed more evenly in the thick-shelled (1.0 mm) structure. The stress is less concentrated, reaching down through the remaining layers of the structure. These results make sense because the force being applied to the thinner shell is much closer to the inner lattice of the structure. In the thick-shelled structure, the force is not as close to the inner matrix, so the stress is more evenly distributed throughout the shell before it reaches the lattice within the structure. This prevents high stress concentration on one region near the top of the ridge. The conclusion drawn is that when building such a structure, one must be aware that thicker shells will distribute the stress throughout the structure more evenly, and would probably be less prone to failure than thin shells. However, there should be some safe medium where the amount of material used in the shell will safely distribute stress, but not be excessive.
The second analysis performed showed the stress distributions of two different structures that both had a shell thickness of 1.0 mm, but different pore sizes of 0.75 mm x 0.75 mm and 1.0 mm x 1.0 mm. The results are shown in Appendix B. In comparing these two stress distributions, it is seen once again that the main difference is the amount of stress that is distributed throughout the body of the structure. In the smaller pored structure, an even stress-distribution is shown where the stress is mostly distributed within several of the upper layers. One possible explanation is that the density of a smaller pore is greater, hence it is more stable and absorbs the stress better. In the larger-pored structure, it is seen that the most concentrated stress lies within the top two layers of the structure. This location has a very strong stress gradient. However, the maximum stress in this structure is nearly one order of magnitude less than that of the smaller-pored structure. This comparison is not as conclusive as the previous one, as one sees that both structures seem to have advantages. In conclusion, the smaller pore sized structure has a lower maximum stress and has a more evenly distributed stress. It would be interesting to further compare structures with different pore size to see if any further conclusions can be made.
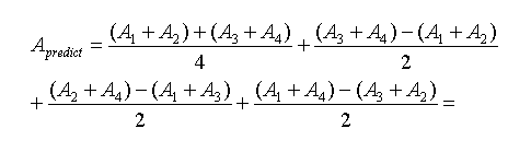
Here the DIFFERENCE corresponds to the difference between two data points, or the two numerical values encircled along an axis, as shown below in Figure 5.The main effect can be calculated as:The systems response can be predict by the following formula:
If the team had have had a fourth analyses, this equation could have been used to determine the stress of any other shell thickness or pore size.