ENCE 433 Dr. Alba Torrents

ENVIRONMENTAL ENGINEERING ANALYSIS Fall 1996

Homework Set # 2 SOLUTION


Concentration of Sulfate :

H2SO4(l) + H2O(l) --> H3O+(aq) + HSO4- (aq)

Here, we save space by omitting H2O and using H+ instead of the hydronium ion.

The equations needed are:

Equilibrium equations:
1) An expression for Ka1
2) An expression for Ka2

Water ionization
3) [H+][OH-] = 10-14

Electroneutrality equation
4) [H+] = [HSO4-] + 2[SO4-2]+[OH-]

Mass balance
5) [H2SO4] + [HSO4-] + [SO4-2] = 1.7x10-5 M

Status : Five unknowns, and five knowns. There seem to be a variety of strategies; let's focus on the charge balance equation. Replace all non-hydrogen terms. Since the sulfate is the "farthest" from H+, let's start with it:

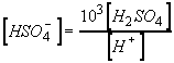
Rearrange eq 1:



Substitute eq 1 into 2:



Solve for sulfate concentration:

(6)
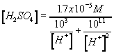
Now, substitute eqs 1, 3, and 6 into the charge balance equation, eq 4.

(7)

We need a relationship between H+ and H2SO4. It's time to turn to eq 5.
Substitute eq 1 and eq 6 into eq 5:


and solve for H2SO4:


and you can find the solution by determining the zero crossing point of the two equation.

An Easier way is to assume that as the pH will be acid (<<4) then:

[H2SO4] - 0

[OH-] <<<< [H+]

MB : 1.5x10-5 M = [HSO4-] + [SO4-2] -- [SO4-2] = 1.5x10-5 M - [HSO4-]

PBE : [H+] = [HSO4-] + 2[SO4-2] - [HSO4-] = [H+] - 2(1.5x10-5 M - [HSO4-])

[HSO4-] = 2(1.5x10-5 M)- [H+]

and then



quadratic equation, [H+] = 3.4x10-5 - pH = 4.4